鏍规嵁鍓簲鍔涘己搴︽渶灏忓師鐞嗗拰鍓簲鍔涘己搴﹀潎鍖鍒嗗竷鍘熷垯锛屾湰鏂囬氳繃搴旂敤Mises灞堟湇鏉′欢锛屽垎鏋愪簡娓╁樊搴斿姏瀵硅秴楂樺帇绠″紡鍙嶅簲鍣ㄧ柌鍔冲鍛界殑褰卞搷锛屽苟寰楀嚭浜嗘渶浣冲脊鎬-濉戞т氦鐣岄潰鍗婂緞鐨勫叕寮忋傜爺绌剁粨鏋滆〃鏄庯紝鍓簲鍔涘己搴︽渶灏忓師鐞嗗拰鍓簲鍔涘己搴﹀潎鍖鍒嗗竷鍘熷垯鏄浉瀹圭殑銆傝繖浜涘叕寮忓彲渚涜秴楂樺帇绠″紡鍙嶅簲鍣ㄧ殑宸ョ▼璁捐鍙傝冦
瓒呴珮鍘嬪弽搴旂鏄寮忔硶鑱氫箼鐑缃腑鐨勪富瑕佽澶囦箣涓锛屽叾鎿嶄綔鍘嬪姏涓(100~250)MPa锛屽伐浣滄俯搴︾害涓350掳C锛屾搷浣滄椂鍐呭澹佹俯宸负(15-120)掳C銆備负浜嗛檷浣庣寮忓弽搴斿櫒鍦ㄦ搷浣滄椂鐨勫簲鍔涙按骞筹紝鎻愰珮鍏朵娇鐢ㄥ鍛斤紝蹇呴』瀵硅秴楂樺帇绠″紡鍙嶅簲鍣ㄨ繘琛岃嚜澧炲己澶勭悊銆
鍦ㄧ粰瀹氱殑宸ヨ壓鏉′欢涓嬶紝濡備綍纭畾瓒呴珮鍘嬬寮忓弽搴斿櫒鐨勬渶浣冲脊鎬-濉戞т氦鐣岄潰鍗婂緞锛屾槸杩勪粖涓烘杩樻病鏈夊緢濂借В鍐崇殑涓涓棶棰樸傛枃鐚甗1锛2]鍦ㄤ笉鑰冭檻娓╁樊搴斿姏鐨勫墠鎻愪笅锛屾彁鍑轰簡涓涓绠楀弽搴旂鏈浣冲脊鎬-濉戞т氦鐣岄潰鍗婂緞鐨勫叕寮忥紝浣嗘槸娓╁樊搴斿姏瀵硅秴楂樺帇绠″紡鍙嶅簲鍣ㄧ殑搴斿姏姘村钩鍜屼綆鍛ㄧ柌鍔冲鍛界殑褰卞搷鏄笉鍙拷鐣ョ殑[1锛3]銆傛枃鐚甗4锛5]浠庢帶鍒惰秴楂樺帇绠″紡鍙嶅簲鍣ㄧ殑鏈澶ф搷浣滃懆鍚戝簲鍔涜搴﹀嚭鍙戯紝涔熸彁鍑轰簡璁$畻瓒呴珮鍘嬪弽搴旂鏈浣冲脊鎬-濉戞т氦鐣岄潰鍗婂緞鐨勪竴绉嶆柟娉曪紝浣嗘槸鐢变簬瓒呴珮鍘嬬寮忓弽搴斿櫒鐨勭柌鍔冲己搴︽槸鐢辨渶澶у壀搴斿姏寮哄害鎵鍐冲畾锛屾墍浠ユ枃鐚甗4锛5]鐨勬柟娉曚笌缁撹鏄煎緱璁ㄨ鐨勩
涓烘锛屾湰鏂囪冭檻浜嗚秴楂樺帇绠″紡鍙嶅簲鍣ㄧ殑鍚勭鎿嶄綔搴斿姏锛屽簲鐢∕ises灞堟湇鏉′欢锛屼粠鍓簲鍔涘己搴︽渶灏忓師鐞嗗拰鍓簲鍔涘己搴﹀潎鍖鍒嗗竷鍘熷垯涓や釜鏂归潰瀵瑰弽搴旂鐨勬渶浣冲脊鎬-濉戞т氦鐣岄潰鍗婂緞杩涜浜嗘帰璁ㄣ
棣栧厛锛屾牴鎹壀搴斿姏寮哄害鏈灏忓師鐞嗭紝灏嗕富瀵肩柌鍔冲己搴︾殑鏈澶у壀搴斿姏寮哄害闄嶈嚦鏈浣庛
鍏舵锛屾牴鎹壀搴斿姏寮哄害鍧囧寑鍒嗗竷鍘熷垯锛屽悎鐞嗗埄鐢ㄦ潗鏂欙紝浣胯秴楂樺帇绠″紡鍙嶅簲鍣ㄥ湪鎿嶄綔鏃跺壀搴斿姏寮哄害鍒嗗竷鍧囧寑锛屽唴銆佸澹佸壀搴斿姏寮哄害鐩哥瓑銆
鍓簲鍔涘己搴﹀垎鏋愯〃鏄庯紝鍗曞眰鍘氬鍦嗙瓛鐨勭柌鍔冲鍛藉彇鍐充簬鍏舵渶澶ф搷浣滃壀搴斿姏寮哄害锛岃繖宸茬粡寰楀埌瀹為獙璇佹槑銆傚洜姝わ紝鏈枃灏嗚秴楂樺帇鍙嶅簲绠$殑鏈澶ф搷浣滃壀搴斿姏寮哄害浣滀负鎺у埗瀵硅薄锛岃璁哄叾鏈浣冲脊鎬-濉戞т氦鐣岄潰鍗婂緞銆備负浜嗚璁烘柟渚匡紝鏈枃鍋囧畾鏉愭枡鏄悊鎯冲鎬х殑锛屾潗鏂欑殑灞堟湇鍙樺舰鏈嶄粠Mises灞堟湇鏉′欢銆
瓒呴珮鍘嬬寮忓弽搴斿櫒鐨勬搷浣滃簲鍔涘寘鎷唴鍘嬪紩璧风殑寮规у簲鍔涖佽嚜澧炲己棰勫簲鍔涘拰鍐呫佸澹佺殑娓╁樊搴斿姏鐩稿彔鍔犮傚叾涓紝鑷寮洪搴斿姏闅忔搷浣滄俯搴︾殑鍗囬珮鎸夋瘮渚嬪噺灏戙
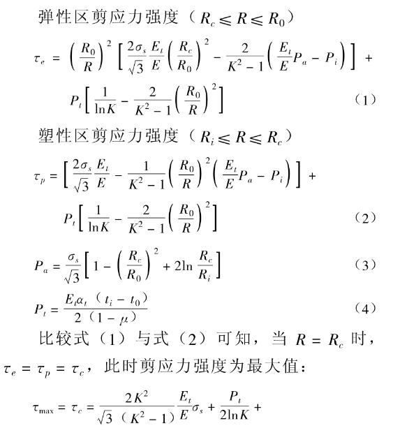
鏍规嵁鏂囩尞[1锛2]鐨勬柟娉曪紝搴旂敤Mises灞堟湇鏉′欢姹傚嚭鑷寮洪搴斿姏鍚庯紝鍙互寰楀埌瓒呴珮鍘嬬寮忓弽搴斿櫒鍦ㄦ搷浣滄椂寮广佸鎬у尯鍓簲鍔涘己搴︾殑琛ㄨ揪寮忋

180-2215-1028











鍦ㄧ嚎鍜ㄨ




